“成功”了,然后呢?

最近通过观察这个世界,发现了很多有意思的事。许多学生在上学时候不断的被老师和学校灌输“分考高了就成功了”,“上了某学就成功了”,“读了某项目就成功了”,“题做的比别人多就成功”了的思维方式,但却很少思考从“上了某学”到能够过一个质量比较高的人生中间的步骤。

这样的结果就是许多人从来不思考怎么样让人生变好,而是一直优化理论上会使人生变好的某些指标,到最后发现指标显示自己应该赢了,人生却并没有变好。甚至搞的还远不如一开始理论上过的会的不如自己却对自己到底想要什么样的人生想的比较多并付出行动的人。如果能够清楚自己想要什么并去做,可能某些指标评价体系下数字不会变高,但是却确实在向自己比较希望的方向移动,没有不加思考的游走。

5個讚

failure 那么卷还不如继承家业
我高中同学靠关系进重点,靠关系进名校继承家业

很多人做事之前心里有个前置条件:如果怎么样、就怎么样,如果不怎么样、我就怎么做也不能怎么样。

因而在行动的时候被过多的心理负担所压倒,以至于用心不专,老是想着要 backtrack。

不能活在对过去的懊悔中,要实打实地做事情。

2個讚

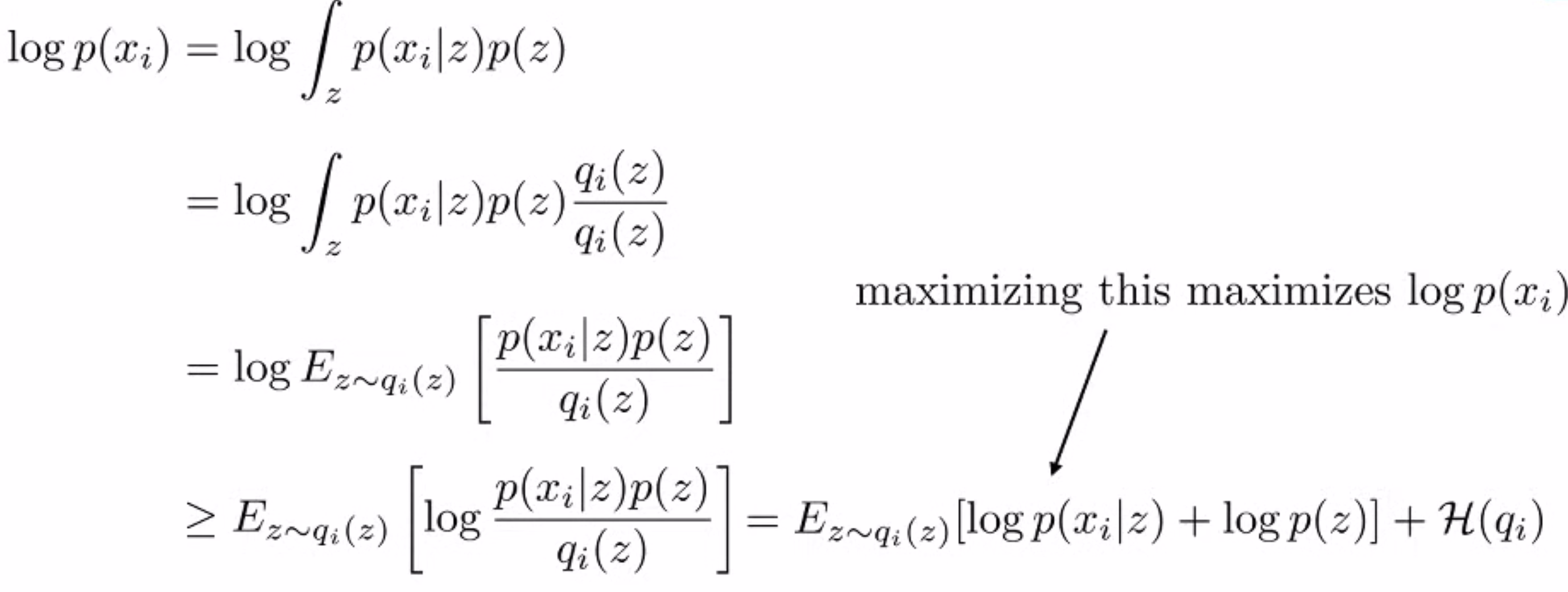
这让我想到了 varational inference 里面的 maximize lower bound to maximize log probability 。而就像你说的一样,很多人只优化人生上界(指标),并不能优化人生。只有优化人生下界(个人能力),才能优化人生。

2個讚

很难说。要达到想象中的成功或许要 20-30 年时间,先把指标刷上去为真正意义上的成功做铺垫也未尝不可呀。计划几年做一轮,只能做一些不能直接通达“成功”的事也比较正常。

你这话说的。。。要是出生在那种有几十亿美元的家庭,显然可以一辈子过的很无羁啊。但是如果不是,也还是要尽力过好人生。